Handover (mobility) is a process of transferring an ongoing communication session of a user equipment (UE) from one cell (i.e., base station or gNodeB (gNB)) to another cell in connected state. The primary motivation behind handover is to ensure seamless connectivity and continuity of service for the user, especially while the user is on the move. Mobility can be categorized into two types: beam level mobility and cell level mobility.
The beam level mobility does not require explicit radio resource control (RRC) signaling to be triggered. It can be within a cell, or between cells (i.e., inter-cell beam management (ICBM)). The gNB provides the UE with measurement configuration for triggering channel and interference measurements and reports. Beam level mobility is then dealt with at lower layers by means of physical layer (PHY) and medium-access control (MAC) layer control signaling, and the UE does not require explicit RRC signaling to change to a target beam.
The cell level mobility requires an explicit RRC signalling to be triggered. The signalling procedures consist of at least the following elemental components [1] illustrated in FIG. 1:

FIG 1[1]
[2]In the NR high frequency range with beamforming, when the UE moves or rotates, the UE can experience signal degradation. The channel condition between line of sight (LoS) and non LoS in NR may be very different as well. It may result in higher handover failure (e.g., as UE may not receive the expected RRC message to trigger handover due to poor signal conditions). Conditional Handover (CHO) has been introduced to improve reliability of handover. The CHO is a handover procedure that is executed only when the configured CHO execution condition(s) are met. The UE maintains connection with source gNB after receiving CHO configuration, and starts evaluating the CHO execution conditions for the candidate cell(s). If at least one CHO candidate cell satisfies the corresponding CHO execution condition, the CHO is executed by detaching from the source gNB, applying the corresponding configuration for the selected candidate cell, and accesses the target cell [3].
Dual Active Protocol Stack (DAPS) handover has been introduced to achieve 0ms interruption time during handover to support ultra-reliable low latency communication (URLLC) type of service which requires very low end-to-end delay. The DAPS handover allows a user to initiate a handover to a target cell while maintaining the connection with the source cell by activating two protocol stacks, one for the source cell and the other for the target cell. the use release the connection with the source cell after successful handover to the target cell[4].
In all the handover types until Release 17, a serving cell change is triggered by layer 3 (L3) measurements and is done by RRC signaling (i.e., Reconfiguration with Synchronization information element) for change of primary cell (PCell) and primary secondary cell (PSCell). All cases require reconfiguration of upper layers (e.g., RRC or PDCP) and/or resetting of lower layers (e.g., MAC and/or PHY) which leads to longer latency, larger overhead and longer interruption time than beam level mobility [5]. Release 18 has introduced layer 1 (L1)/L2 based mobility also known as lower layer triggered mobility (LTM) to enable a serving cell change via L1/L2 signaling, while keeping configuration of the upper layers and/or minimizing changes of configuration of the lower layers. This helps to reduce the latency, overhead and interruption time during handover. The LTM supports both intra-distributed unit (DU) and intra-central unit (CU)-inter-DU mobility. During the LTM, user plane is continued whenever possible (e.g. intra-DU), without reset, with the target cell to avoid data loss and the additional delay of data recovery. Further, security is not updated in LTM.
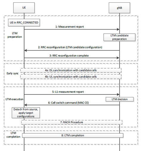
The overall procedure for LTM is shown in FIG. 2[6].

FIG 2[6]
2. The gNB transmits an RRCReconfiguration message to the UE including the configuration of one or multiple LTM candidate target cells.
3. The UE stores the configuration of LTM candidate target cell(s) and transmits a RRCReconfigurationComplete message to the gNB.
4a/4b. The UE may perform downlink (DL) synchronization and timing advance (TA) acquisition with candidate target cell(s) before receiving the LTM cell switch command.
5. The UE performs L1 measurements on the configured LTM candidate target cell(s), and transmits lower-layer measurement reports to the gNB.
6. The gNB decides to execute LTM cell switch to a target cell, and transmits a MAC control element (MAC-CE) triggering LTM cell switch. The UE switches to the configuration of the LTM candidate target cell.
7. The UE performs random access procedure towards the target cell, if TA is not available.
8. The UE indicates successful completion of the LTM cell switch towards the target cell.
In LTM, the UE may perform partial or full MAC reset, may re-establish radio link control (RLC), may perform data recovery with packet data convergence protocol (PDCP) during cell switch.
References :
[1] 3GPP TS 38.300: ” NR; NR and NG-RAN Overall Description; Stage 2″.
[2] RP-192534, Revised WID on NR mobility enhancements, Intel Corporation, RAN#86.
[3] RP-201274 Summary of WI on NR mobility enhancements.
[4] 3GPP TS 38.331: “NR; Radio Resource Control (RRC); Protocol specification”.
[5] RP-213565 New WID on Further NR mobility enhancements.
[6] R2-2300375 38.300 running CR for introduction of NR further mobility enhancements.
